本站讯(书法艺术学院 供稿)近日,全国第十三届书法篆刻作品展在北京评选揭晓,beat365官网书法艺术学院叶磊老师篆书作品在全国17368件入围复评作品中脱颖而出,成功入展。

全国书法篆刻展览是由中国文联和中国书法家协会主办,每四年一届,代表中国书法界最高规格的综合性展览,是规模最大、涉及最广、参与人数最多的书法盛会,被誉为书法界的“奥林匹克”,代表了当前全国书法创作的最高水平。

又讯:beat365官网书法学院21屆毕业生黄远海的篆刻作品,亦入选本次全国第十三届书法篆刻作品展,属江西省唯一的篆刻入选者。

叶磊简介:
叶磊,萍乡上栗人,中共党员,硕士研究生,书法艺术学院讲师,中国书法家协会会员,江西书法家协会书法教育委员会副秘书长,上海大学访问学者,广西青年书法家协会会员。曾主持完成省级课题4项,在《中国书法》《中国书法报》《大学书法》等期刊发表论文10余篇。书法、篆刻作品参加国家、省级展览10余次。
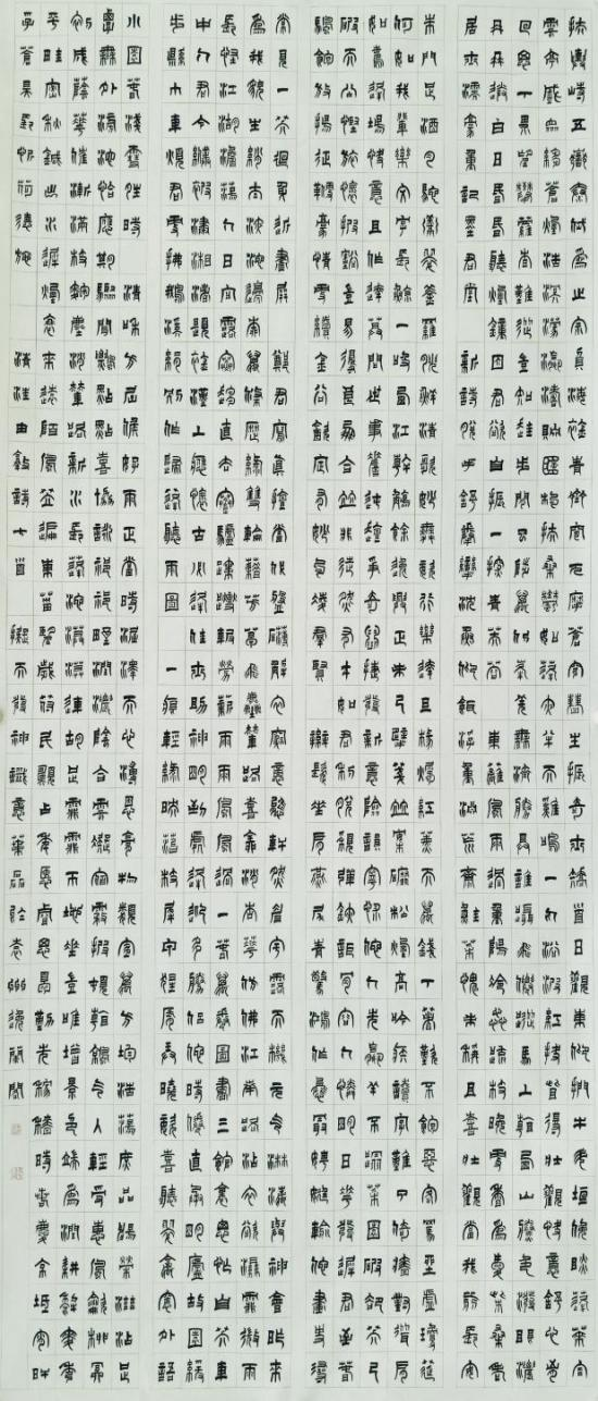
入展作品:篆书《清汪由敦诗七首》尺寸248cm×124cm
审核:梁敏
编辑:袁璐


